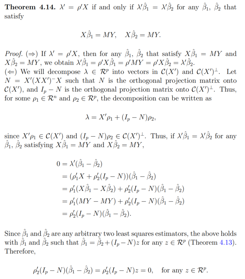
-
Cheat sheet # 12*Mathematics/Linear Model 2025. 11. 8. 14:11
Linear Model은 순식간에 slow ball이 되기 때문에, 복습이 필수다.

































'*Mathematics > Linear Model' 카테고리의 다른 글
Cheat sheet # 14 (0) 2025.11.19 Cheat sheet # 13 (0) 2025.11.12 헐!?!???!?!?!?!? (0) 2025.10.28 [on-going] Cheat sheet # 11 (Mid21 Solution) (0) 2025.10.22 [on-going] Cheat sheet # 10 (Mid22 Solution) (0) 2025.10.21