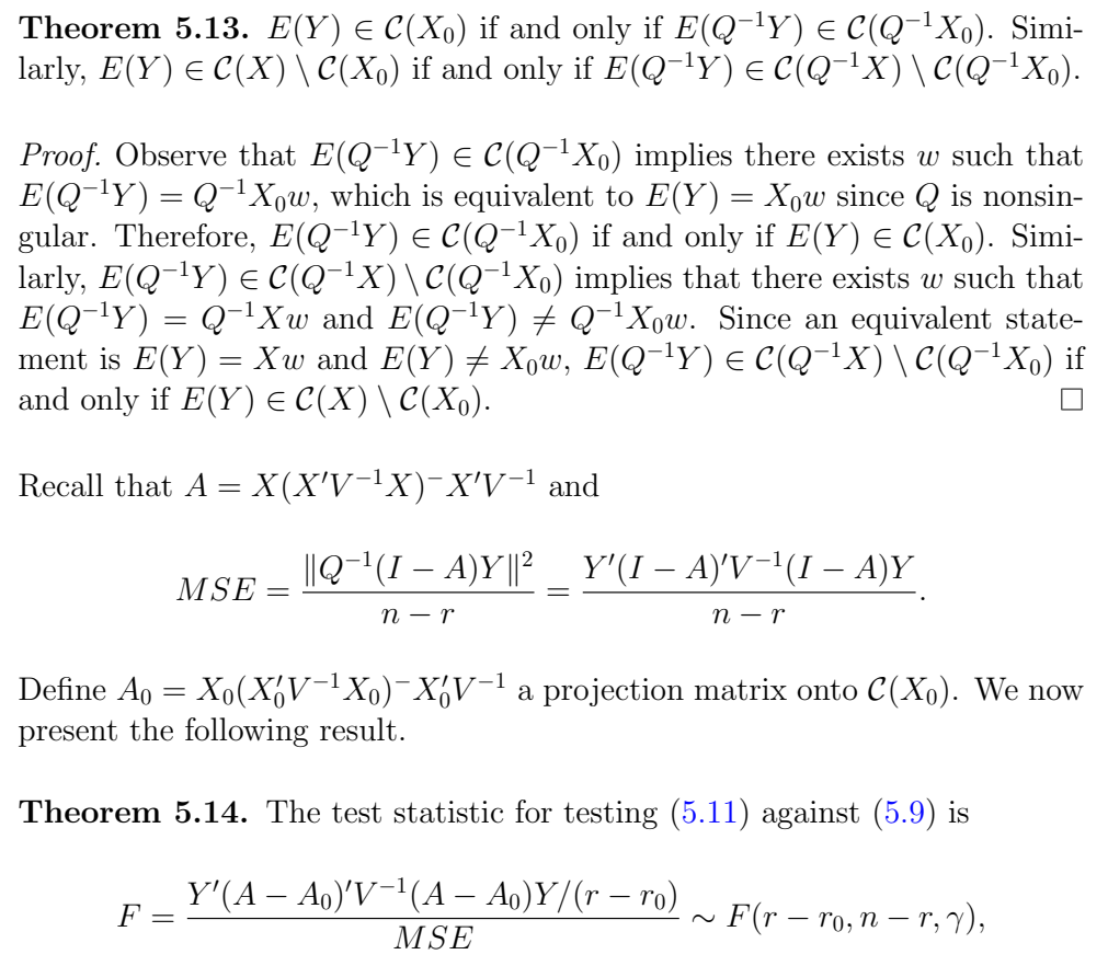
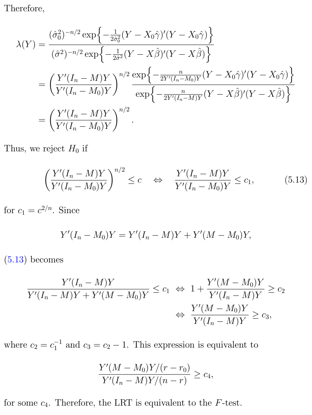
-
Cheat sheet # 16*Mathematics/Linear Model 2025. 11. 30. 09:54



















'*Mathematics > Linear Model' 카테고리의 다른 글
Cheat sheet # 18 (0) 2025.12.06 [done!] Cheat sheet # 17 (Fin21 Solution) (0) 2025.11.30 Cheat sheet # 15 (0) 2025.11.27 Cheat sheet # 14 (0) 2025.11.19 Cheat sheet # 13 (0) 2025.11.12