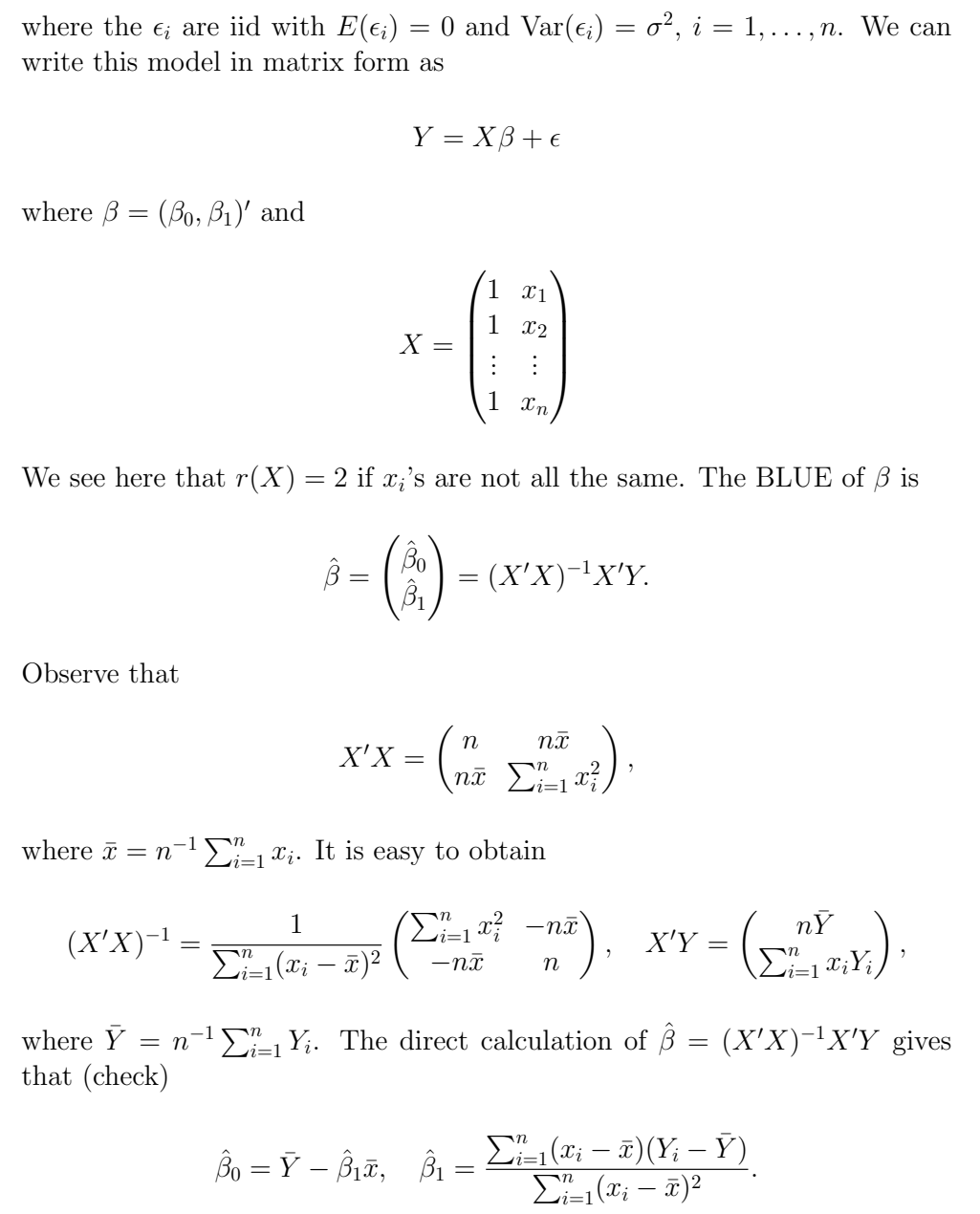
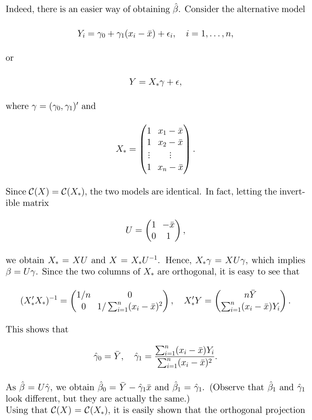
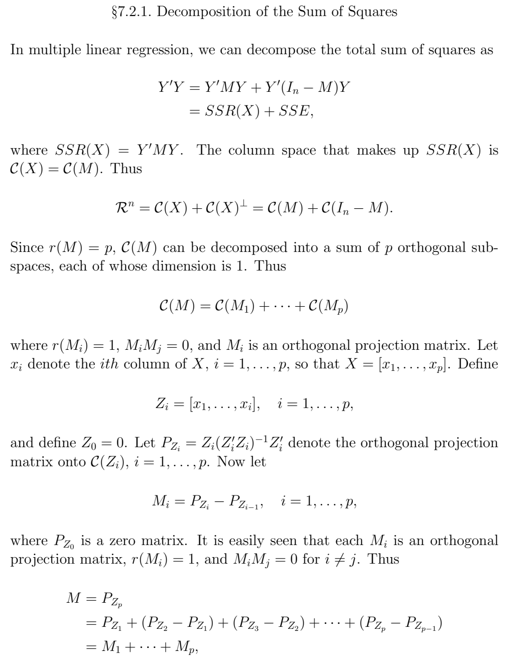
-
Cheat sheet # 18*Mathematics/Linear Model 2025. 12. 6. 14:06

















'*Mathematics > Linear Model' 카테고리의 다른 글
Cheat sheet # 20 (0) 2025.12.08 [done!] Cheat sheet # 19 (Fin22 Solution) (0) 2025.12.07 [done!] Cheat sheet # 17 (Fin21 Solution) (0) 2025.11.30 Cheat sheet # 16 (0) 2025.11.30 Cheat sheet # 15 (0) 2025.11.27