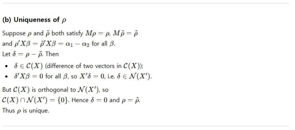
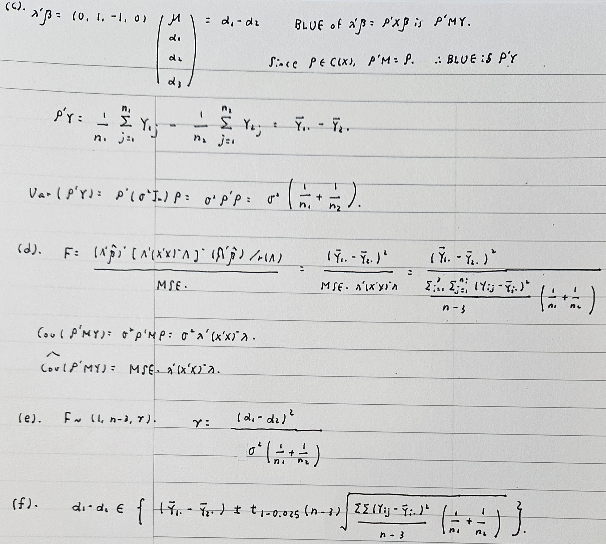
-
[done!] Cheat sheet # 19 (Fin22 Solution)*Mathematics/Linear Model 2025. 12. 7. 14:15
















'*Mathematics > Linear Model' 카테고리의 다른 글
[done!] Cheat sheet # 21 (Fin23 Solution) (0) 2025.12.08 Cheat sheet # 20 (0) 2025.12.08 Cheat sheet # 18 (0) 2025.12.06 [done!] Cheat sheet # 17 (Fin21 Solution) (0) 2025.11.30 Cheat sheet # 16 (0) 2025.11.30