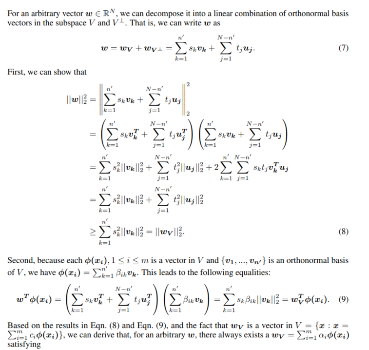
-
Kernel MethodsBayesian 2025. 6. 30. 23:06
'Bayesian' 카테고리의 다른 글
Deep Networks are Kernel Machines (0) 2025.07.01 Deep Neural Networks as Gaussian Processes (0) 2025.06.30 GP를 결정적으로 이해하게 된 (0) 2025.06.30 Gaussian Processes (0) 2025.06.26 Review of Bayesian Statistics (0) 2025.06.23


















